

电气工程师和电路设计人员供电和测试电路系统设计时,DC电源 是他们使用的测试测量设备 中的标配。那么它有哪些具体功能?怎样才能为应用找到适当的台式电源呢?我们将就这些问题展开探讨。那么它有哪些具体功能?怎样才能为应用找到适当的台式电源呢?我们将就这些问题展开探讨。
什么是台式电源?
台式电源提供DC (直流)电压,为被测器件供电,如电路板或电子产品。台式电源一般坐在工程师的工作区或工作台上,因此也称为“台式电源”。在下面的短视频中,吉时利的一名专家概括介绍了台式电源。
台式电源基础
什么是台式电源?
台式电源提供DC (直流)电压,为被测器件供电,如电路板或电子产品。台式电源一般坐在工程师的工作区或工作台上,因此也称为“台式电源”。在下面的短视频中,吉时利的一名专家概括介绍了台式电源。
购买台式电源台式电源的类型
尽管台式电源种类繁多,但这些仪器在广义上可以分成三大类:单通道和多通道电源,双极电源和单极电源,线性电源和开关式电源。
单通道和多通道电源

顾名思义,单通道台式电源只有一个可控输出,而多通道电源则有两个或以上的输出。多通道电源一般用来开发同时采用数字电路和模拟电路或双极电路的器件。
双极和单极台式电源

单极电源只能提供正电压。工程师可以在技术上切换连接电源的引线,提供负电压,而双极电源则既能提供正电压,也能提供负电压。双极电源能够处理更多种类的功率应用,但价格较高,使用起来更复杂,因此许多工程师在DC功率应用中选择单极台式电源。
线性和开关式台式电源

线性电源能够提供高精度测量,噪声或信号干扰非常小。但它们一般更重,尺寸更大,提供的功率较少,效率较差。开关式电源更紧凑,提供的功率更多,但一般有高频噪声,测量精度较差。开关式电源通常用于功率密度成问题的应用,比如要在很小的空间内获得高得多的功率,而线性电源则用于要求为小的模拟电路供电的应用。
怎样选择适当的台式电源
通过选择相应的电源,并且更深入地了解其功能和特性,工程师可以更快地运行测试,更精确地进行测量。在购买台式电源时要考虑许多因素,最重要的因素有:在购买台式电源时要考虑许多因素,最重要的因素有:
- 考虑可编程电源
- 选择正确功率极限的台式电源
- 选择拥有远程传感电压监测功能的台式电源
- 寻找拥有相应响应时间的台式电源
在使用台式电源运行长测试或复杂测试时,手动设置电压值和电流极限会浪费宝贵的时间。幸运的是,大多数台式电源带有测试序列功能,支持基本编程能力。通过使用测试序列功能,工程师可以对电压值、电流极限值和每个设置的时间编程。这提供了一种简单的方式,可以运行拥有多个预定输出电压和时间的复杂测试,而又不用在台式电源上手动调节设置,操作人员可以把更多的时间放在获得优质测量上。

DC电源通常会按最大电压和最大电流分类。在寻找适当的电源方面,这无疑提供了重要的信息,但别忘了还要看一下功率极限。
例如,2260B-30-72台式电源 可以提供高达30 V或72 A,但它的功率极限是720 W。这意味着这种电源能提供30 V电压,但达不到72 A,因为有功率限制。工程师可以使用下面的公式确定生成的功率:

在大多数情况下,如果用这个公式计算的功率低于台式电源的功率极限,那么就能正常运行。
如果想要准确的电压源,优质使用配备远程电压表或远程传感功能的台式电源。这样可以获得DUT上(而不是输入端子上)干净的电压读数,因为它补偿了测试线的压降。大多数标准3英尺左右的测试线的电阻约为50 mΩ (一对测试线约为100 mΩ),因此在使用低电阻DUT时,测试线上的压降会相当大。
如果运行的测试中电压或负载迅速变化,那么响应时间至关重要。响应时间是指台式电源向上倾斜(上升时间)或向下倾斜(下降时间)到设定电压所需的时间。注意响应时间经常会随着负载变化。
上升时间是指电源从10%的值上升到90%的值所用的时间。下降时间相反,是电源从90%的值下降到10%的值所用的时间。
瞬态恢复时间是应用负载后电源恢复到设定电平所需的时间长度。如果单独作为一个指标,它是一个比较复杂的参数,所以通常用多个参数来描述:电压稳定频段、瞬态恢复时间和负载电流步进变化。例如,Keithley 2200系列台式电源 的负载瞬态恢复时间指标如下:“在从0.1 A变成1A后<400 μs内落到75="" mv范围内。”="" 这意味着,如果电流负载从0.1="" a变成1="" a="" (负载电流的步进变化),那么电源将在不到400="" μs内(瞬态恢复时间)落到75="">
怎样使用台式电源
台式电源使用起来非常简单。这些仪器通过引线连接DUT,引线插到台式电源面板里。这些仪器通过引线连接DUT,引线插到台式电源面板里。工程师可以使用前面板显示屏,设置电压或电流电平,为DUT供电。大多数台式电源可以在两种模式下工作:恒压模式和恒流模式。
在恒压 (CV)和恒流(CC)模式下运行台式电源
台式电源的一个重要功能是能够在恒流 (CC)和恒压(CV)模式下运行。在CV模式下,电源根据用户设置稳定输出电压。在CC模式下,电源稳定电流。电源在CV模式还是CC模式取决于用户设置和负载的电阻。在CV模式或CC模式下,电源有不同的指标。在任意时点,电源稳定电压或电流,并在仪器准确度范围内与设置相匹配。
在CV模式下,输出电压在仪器准确度指标范围内与电压设置相匹配。电流由负载阻抗确定。
在CC模式下,输出电流与电流极限设置相匹配 。电压由负载阻抗确定。
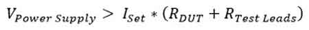
您可以使用欧姆定律确定这些值,具体如下。如果想更严谨些,可以在电阻中包括测试线:

在并联和串联操作下运行台式电源
如果测试要求更多的功率,可以并联或串联多个台式电源,来提高可用的电压或电流。

串联操作: 为提高电压,把一个电源的正输出连接到另一个电源的负输出上,然后把其余的正输出和负输出连接到DUT。
并联操作: 为提高电流,把两个正输出连接到DUT的一个端子上,把两个负输出连接到DUT的另一个端子上。
在组合输出时,如果想使用远程传感功能,一定要翻阅电源使用说明书。在某些配置下或在使用两个不同电源时,远程传感功能可能会不能用。
为应用寻找优质的台式电源
如需进一步了解台式电源,可以查看我们的 台式电源选型指南 或浏览我们的 DC电源总集.如想了解怎样为您的应用选择适当的台式电源,请与泰克专家联系.










