

Vector signal analyzers like Tektronix real-time spectrum analyzers operate by converting the incoming RF signal into quadrature baseband (IQ) samples vs. time. All of the measurements and results that can be displayed, from simple spectrum measurements to complex modulation analysis, are computed from these IQ samples.

One common calculation that is performed on the IQ data is to determine the RF power vs. time. The formula used to compute RF power is remarkably simple. It’s interesting to review how this formula is derived.
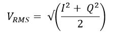
The I and Q values represent the peak value of the in-phase and quadrature components of the RF signal vector. The Pythagorean Theorem tells us that peak RF signal voltage is equal to:

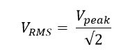
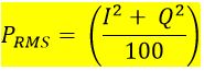
By definition, the I and Q values are the peak values of the sinusoidal quadrature components of the RF signal. Thus, the RMS value of the RF signal is given by:

Substituting the equation for the peak voltage:

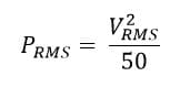
In a 50Ω system, the RF power is given by:

…and substituting the equation for the RMS voltage into the power equation:

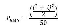
…which simplifies to:

Power in dBm is given by:

…which simplifies to:

As we can see, the computation of RF power boils down to very simple equations for RF power expressed in watts or dBm. If you're looking to generate RF signals then check out our TSG4100A RF signal generator.
