- 低噪声、70 GHz 实时信号捕获功能,采用的 ATI 结构
- 紧凑的 5 ¼" (3U) 仪器封装,实现了功能最广泛的多通道系统
- 采用 UltraSync 多台时间同步总线,提供精确的可扩充的性能
- 最高的触发性能,>25 GHz 边沿触发带宽,独有的包络触发功能
- 14.1 Gbps 硬件串行触发 – 保证在指定 8b10b、64b66b 或通用 NRZ 码型第一次发生时触发采集,隔离码型相关效应
联系我们
与泰克代表实时聊天。 工作时间:上午 9:00 - 下午 5:00(太平洋标准时间)。
致电我们
工作时间:上午9:00-下午5:00(太平洋标准时间)
下载
下载手册、产品技术资料、软件等:
反馈

主要特性
技术规格
除另行指明外,所有技术数据都是有保障的数据。除另行说明外,所有技术规范适用于所有型号。
型号概述
| DPO77002SX/DPS77004SX | DPO75902SX/DPS75904SX | DPO75002SX/DPS75004SX | ||||
|---|---|---|---|---|---|---|
| ATI 通道 | TekConnect 通道 | ATI 通道 | TekConnect 通道 | ATI 通道 | TekConnect 通道 | |
| 模拟通道/带宽 | DPO77002SX 1 通道/67 GHz 1 通道/70 GHz(典型值) DPS77004SX 2 通道/67 GHz 2 通道/70 GHz(典型值) | DPO77002SX 2 通道/33 GHz DPS77004SX 4 通道/33 GHz | DPO75902SX 1 通道/59 GHz DPS75904SX 2 通道/59 GHz | DPO75902SX 2 通道/33 GHz DPS75904SX 4 通道/33 GHz | DPO75002SX 1 通道/50 GHz DPS75004SX 2 通道/50 GHz | DPO75002SX 2 通道/33 GHz DPS75004SX 4 通道/33 GHz |
| 每条通道采样率 | 200 GS/s | 100 GS/s | 200 GS/s | 100 GS/s | 200 GS/s | 100 GS/s |
| 上升时间(典型值) | 10% 至 90%:5.6 ps 20% 至 80%:4.3 ps | 10% 至 90%:13 ps 20% 至 80%:9 ps | 10% 至 90%:6.8 ps 20% 至 80%:5.2 ps | 10% 至 90%:13 ps 20% 至 80%:9 ps | 10% 至 90%:7.8 ps 20% 至 80%:6 ps | 10% 至 90%:13 ps 20% 至 80%:9 ps |
| 垂直噪声(% 的满刻度),BWE 开,最大采样率(典型值) | 0.83% 的满刻度 @ 0 V 偏置 (300 mVFS) | 0.71% 的满刻度 @ 0 V 偏置 (500 mVFS) | 0.77% 的满刻度 @ 0 V 偏置 (300 mVFS) | 0.71% 的满刻度 @ 0 V 偏置 (500 mVFS) | 0.69% 的满刻度 @ 0 V 偏置 (300 mVFS) | 0.71% 的满刻度 @ 0 V 偏置 (500 mVFS) |
| 记录长度,点(每条通道,标配) | 62.5 M | 62.5 M | 62.5 M | 62.5 M | 62.5 M | 62.5 M |
| 记录长度(每条通道,10XL 选件) | 125 M | 125 M | 125 M | 125 M | 125 M | 125 M |
| 记录长度(每条通道,20XL 选件) | 250 M | 250 M | 250 M | 250 M | 250 M | 250 M |
| 记录长度(每条通道,50XL 选件) | 1 G | 1 G | 1 G | 1 G | 1 G | 1 G |
| 定时分辨率 | 5 ps (200 GS/s) | 10 ps (100 GS/s) | 5 ps (200 GS/s) | 10 ps (100 GS/s) | 5 ps (200 GS/s) | 10 ps (100 GS/s) |
| 最高采样率条件下的持续时间(标配) | 313 µs | 625 µs | 313 µs | 625 µs | 313 µs | 625 µs |
| 最高采样率条件下的持续时间(10XL 选件) | 625 µs | 1.25 ms | 625 µs | 1.25 ms | 625 µs | 1.25 ms |
| 最高采样率条件下的持续时间(20XL 选件) | 1.25 ms | 2.5 ms | 1.25 ms | 2.5 ms | 1.25 ms | 2.5 ms |
| 最高采样率条件下的持续时间(50XL 选件) | 5.0 ms | 10 ms | 5.0 ms | 10 ms | 5.0 ms | 10 ms |
| DPO77002SX | DPS77004SX | DPO73304SX | DPS73308SX | |||
| 单台 | 双台系统 | 单台 | 双台系统 | |||
| ATI 通道 | TekConnect 通道 | ATI 通道 | TekConnect 通道 | TekConnect 通道 | TekConnect 通道 | |
| 模拟通道/带宽 | 1/70 GHz(典型值) 1/67 GHz | 2/33 GHz | 2/70 GHz(典型值) 2/67 GHz | 4/33 GHz | 2/33 GHz、4/23 GHz | 4/33 GHz、8/23 GHz |
| 每条通道采样率 | 200 GS/s | 100 GS/s | 200 GS/s | 100 GS/s | 2 通道 100 GS/s,4 通道 50 GS/s | 4 通道 100 GS/s,8 通道 50 GS/s |
| 上升时间(典型值) | 10% 至 90%:5.6 ps 20% 至 80%:4.3 ps | 10% 至 90%:13 ps 20% 至 80%:9 ps | 10% 至 90%:5.6 ps 20% 至 80%:4.3 ps | 10% 至 90%:13 ps 20% 至 80%:9 ps | 10% 至 90%:13 ps 20% 至 80%:9 ps | 10% 至 90%:13 ps 20% 至 80%:9 ps |
| 垂直噪声(% 的满刻度),BWE 开,最大采样率(典型值) | 0.83% 的满刻度 @ 0 V 偏置 (300 mVFS) | 0.71% 的满刻度 @ 0 V 偏置 (500 mVFS) | 0.83% 的满刻度 @ 0 V 偏置 (300 mVFS) | 0.71% 的满刻度 @ 0 V 偏置 (500 mVFS) | 0.71% 的满刻度 @ 0V 偏置 (500 mVFS) | 0.71% 的满刻度 @ 0 V 偏置 (500 mVFS) |
| 记录长度,点(每条通道,标配) | 62.5 M | 62.5 M | 62.5 M | 62.5 M | 62.5 M | 62.5 M |
| 记录长度(每条通道,10XL 选件) | 125 M | 125 M | 125 M | 125 M | 125 M | 125 M |
| 记录长度(每条通道,20XL 选件) | 250 M | 250 M | 250 M | 250 M | 250 M | 250 M |
| 记录长度(每条通道,50XL 选件) | 1 G | 1 G | 1 G | 1 G | 2 通道上 1 G,4 通道上 500 M | 每台设备 2 通道上 1 G,每台设备 4 通道上 500 M |
| 定时分辨率 | 5 ps (200 GS/s) | 10 ps (100 GS/s) | 5 ps (200 GS/s) | 10 ps (100 GS/s) | 10 ps (100 GS/s) | 10 ps (100 GS/s) |
| 最高采样率条件下的持续时间(标配) | 313 µs | 625 µs | 313 µs | 625 µs | 625 µs | 625 µs |
| 最高采样率条件下的持续时间(10XL 选件) | 625 µs | 1.25 ms | 625 µs | 1.25 ms | 1.25 ms | 1.25 ms |
| 最高采样率条件下的持续时间(20XL 选件) | 1.25 ms | 2.5 ms | 1.25 ms | 2.5 ms | 2.5 ms | 2.5 ms |
| 最高采样率条件下的持续时间(50XL 选件) | 5.0 ms | 10 ms | 5.0 ms | 10 ms | 10 ms | 10 ms |
| DPO73304SX/DPS73308SX | DPO72504SX | DPO72304SX | DPO72004SX | DPO71604SX | DPO71304SX | |
|---|---|---|---|---|---|---|
| TekConnect 通道 | TekConnect 通道 | TekConnect 通道 | TekConnect 通道 | TekConnect 通道 | TekConnect 通道 | |
| 模拟通道/带宽 | DPO73304SX 2 通道/33 GHz,4 通道/23 GHz DPS73308SX 4 通道/33 GHz,8 通道/23 GHz | 2 通道/25 GHz,4 通道/23 GHz | 4 通道/23 GHz | 4 通道/20 GHz | 4 通道/16 GHz | 4 通道/13 GHz |
| 每条通道采样率 | DPO73304SX 2 通道 100 GS/s,4 通道 50 GS/s DPS73308SX 4 通道 100 GS/s,8 通道 4 50 GS/s | 2 通道 100 GS/s, 4 通道 50 GS/s | 2 通道 100 GS/s,4 通道 50 GS/s | 2 通道 100 GS/s, 4 通道 50 GS/s | 2 通道 100 GS/s,4 通道 50 GS/s | 2 通道 100 GS/s,4 通道 50 GS/s |
| 上升时间(典型值) | 10% 至 90%:13 ps 20% 至 80%:9 ps | 10% 至 90%:16 ps 20% 至 80%:12 ps | 10% 至 90%:17 ps 20% 至 80%:13 ps | 10% 至 90%:22 ps 20% 至 80%:15 ps | 10% 至 90%:26 ps 20% 至 80%:19 ps | 10% 至 90%:32 ps 20% 至 80%:23 ps |
| 垂直噪声(% 的满刻度),BWE 开,最大采样率(典型值) | 0.71% 的满刻度 @ 0 V 偏置 (500 mVFS) | 0.63% 的满刻度 @ 0 V 偏置 (500 mVFS) | 0.53% 的满刻度 @ 0 V 偏置 (500 mVFS) | 0.51% 的满刻度 @ 0 V 偏置 (500 mVFS) | 0 V 偏置时 0.43% 的满刻度 (500 mVFS) | 0 V 偏置时 0.44% 的满刻度 (500 mVFS) |
| 记录长度,点(每条通道,标配) | 62.5 M | 62.5 M | 62.5 M | 62.5 M | 62.5 M | 62.5 M |
| 记录长度(每条通道,10XL 选件) | 125 M | 125 M | 125 M | 125 M | 125 M | 125 M |
| 记录长度(每条通道,20XL 选件) | 250 M | 250 M | 250 M | 250 M | 250 M | 250 M |
| 记录长度(每条通道,50XL 选件) | DPO73304SX 2 通道上 1 G,4 通道上 500 M DPS73308SX 每台设备 2 通道上 1 G,每台设备 4 通道上 500 M | 2 通道上 1 G,4 通道上 500 M | 2 通道上 1 G,4 通道上 500 M | 2 通道上 1 G,4 通道上 500 M | 2 通道上 1 G,4 通道上 500 M | 2 通道上 1 G,4 通道上 500 M |
| 定时分辨率 | 10 ps (100 GS/s) | 10 ps (100 GS/s) | 10 ps (100 GS/s) | 10 ps (100 GS/s) | 10 ps (100 GS/s) | 10 ps (100 GS/s) |
| 最高采样率条件下的持续时间(标配) | 625 μs | 625 μs | 625 μs | 625 μs | 625 μs | 625 μs |
| 最高采样率条件下的持续时间(10XL 选件) | 1.25 ms | 1.25 ms | 1.25 ms | 1.25 ms | 1.25 ms | 1.25 ms |
| 最高采样率条件下的持续时间(20XL 选件) | 2.5 ms | 2.5 ms | 2.5 ms | 2.5 ms | 2.5 ms | 2.5 ms |
| 最高采样率条件下的持续时间(50XL 选件) | 10 ms | 10 ms | 10 ms | 10 ms | 10 ms | 10 ms |
垂直系统 – 模拟通道
- 输入耦合
- TekConnect 通道:
两种模式:直流(50 欧姆)至可编程端接电压;接地。
终端可以连接到 DC 电压:
≤ 1.2 VFS 设置:-3.5 V ~ 3.5 V,
> 1.2 VFS 设置:0.0 V
- ATI 通道:
DC,50 Ω。
输入电阻
- ≤1.2 VFS 设置
50 Ω ±3%,18 ~ 28 ºC (64 ~ 82 ºF)
50 Ω ±4%,5 ~ 45 ºC (45 ºF ~ 113 ºF)
- >1.2 VFS 设置
- 50 Ω ±4.4%,5 ~ 45 ºC (45 ºF ~ 113 ºF)
- ATI 通道
50 Ω ±3%,18 ~ 28 ºC
50 Ω ±4%,5 ~ 45 ºC
- 灵敏度范围
- TekConnect 通道
- 62.5 mVFS ~ 6 VFS
- ATI 通道
- 100 mVFS ~ 300 mVFS。
- 最大输入电压
- TekConnect 通道:
≤1.2 VFS 设置:
±1.5 V,相对于端接偏置(最大 30 mA)
±5 V 绝对最大输入
>1.2 VFS 设置:
±8 V。受到最大 Vterm 电流及最大温度下衰减器额定功率的限制。
- ATI 通道:
±0.75 Vpk
- 辅助通道:
- ±5.0 V峰值
- 输入端接电压 (VTerm) 范围,对于 TekConnect 通道
- ≤1.2 VFS 设置:
- -3.5 V ~ +3.5 V
- >1.2 VFS 设置:
- 0 V
- 频响容限
- 所有模式,BWE 开,18 ºC 至 28 ºC(典型值)
为确定在超过温度极限时额定性能下降数量,请使用典型温度变化表
- TekConnect 通道:
步长设置 TekConnect 通道:77.5 mVFS、151 mVFS、302 mVFS、605 mVFS、1210 mVFS、1620 mVFS、3240 mVFS
±0.5 dB,DC ~ 50% 的标称带宽
±1.5 dB,50% ~ 80% 的标称带宽
所有其他增益设置:
±1.0 dB,DC ~ 50% 的标称带宽
±2.0 dB,50% ~ 80% 的标称带宽
- ATI 通道:
所有 v/div 设置
±0.5 dB,DC ~ 20 GHz
±0.75 dB,>20 GHz ~ 30 GHz
±1.25 dB,>30 GHz ~ 68.5 GHz
±2 dB,>68.5 GHz ~ 69.5 GHz
+2 / -3 dB @ 70 GHz
- TekConnect 通道
典型温度额定值下降 频率 TC,(dB/°C) 5 °C 45 °C DC - 5 GHz 0.005 dB/°C 0.07 -0.09 10 GHz 0.010 dB/°C 0.13 -0.17 15 GHz 0.025 dB/°C 0.33 -0.43 20 GHz 0.045 dB/°C 0.59 -0.77 23 GHz 0.10 dB/°C 1.30 -1.70 25 GHz 0.10 dB/°C 1.30 -1.70 30 GHz 0.115 dB/°C 1.50 -1.96 33 GHz 0.160 dB/°C 2.08 -2.72 - ATI 通道
典型温度额定值下降 频率 TC,(dB/°C) DC - 5 GHz 0.005 dB/°C DC - 10 GHz 0.002 dB/°C 15 GHz 0.005 dB/°C 20 GHz 0.01 dB/°C 30 GHz 0.05 dB/°C 40 GHz 0.07 dB/°C 50 GHz 0.05 dB/°C 60 GHz 0.05 dB/°C
- 带宽限制
- 视仪器型号而定:70 GHz ~ 1 GHz,1 GHz 或 500 MHz 步长;35 GHz 以上为 5 GHz 步长
非 ATI 通道在 33 GHz 时支持纯硬件带宽设置。ATI 通道不支持纯硬件设置。
- 垂直分辨率
- 8位(采用平均时11位)
- 数字化位数
- 8 位
直流增益精度
- ± 2%
- 有效位数 (典型值)。从 DC 到示波器全部带宽的平均值。
70 GHz ATI 通道 4.6 位 @ 250 mV FS,200 GS/s 59 GHz ATI 通道 4.8 位 @ 250 mV FS,200 GS/s 50 GHz ATI 通道 5.0 位 @ 250 mV FS,200 GS/s 33 GHz TekConnect 通道 5.0 位 @ 500 mV FS,100 GS/s 25 GHz TekConnect 通道 5.2 位 @ 500 mV FS,100 GS/s 23 GHz TekConnect 通道 5.4 位 @ 500 mV FS,100 GS/s 20 GHz TekConnect 通道 5.5 位 @ 500 mV FS,100 GS/s 16 GHz TekConnect 通道 5.8 位 @ 500 mV FS,100 GS/s 13 GHz TekConnect 通道 5.9 位 @ 500 mV FS,100 GS/s - 有效位数, 典型值。
下图提供了 225 mV p-p 正弦波输入的典型有效位数,其中采样点为 250 mVFS,采用最大采样率。
DPO77002SX DPO75902SX DPO75002SX 输入频率 200 GS/s, 70 GHz 200 GS/s, 59 GHz 200 GS/s, 50 GHz 10 MHz 5.0 位 5.14 位 5.22 位 0.92 GHz 5.0 位 5.13 位 5.21 位 1.92 GHz 5.0 位 5.13 位 5.21 位 2.92 GHz 5.0 位 5.14 位 5.22 位 3.92 GHz 5.0 位 5.13 位 5.21 位 4.92 GHz 4.9 位 5.03 位 5.11 位 5.92 GHz 4.9 位 5.03 位 5.10 位 6.92 GHz 4.9 位 5.03 位 5.10 位 7.92 GHz 4.9 位 5.02 位 5.08 位 8.92 GHz 4.9 位 5.03 位 5.09 位 9.92 GHz 4.9 位 5.03 位 5.09 位 10.92 GHz 4.9 位 5.03 位 5.10 位 11.92 GHz 4.9 位 5.06 位 5.13 位 12.92 GHz 4.9 位 5.05 位 5.17 位 13.92 GHz 4.9 位 5.07 位 5.19 位 14.92 GHz 4.9 位 5.10 位 5.21 位 15.92 GHz 4.8 位 4.98 位 5.11 位 16.92 GHz 4.8 位 4.89 位 5.06 位 17.92 GHz 4.7 位 4.79 位 4.95 位 18.92 GHz 4.7 位 4.79 位 4.95 位 19.92 GHz 4.7 位 4.80 位 4.93 位 20.92 GHz 4.7 位 4.80 位 4.92 位 21.92 GHz 4.6 位 4.74 位 4.82 位 22.92 GHz 4.6 位 4.77 位 4.85 位 23.92 GHz 4.7 位 4.81 位 4.87 位 24.92 GHz 4.6 位 4.74 位 4.79 位 25.92 GHz 4.6 位 4.73 位 4.92 位 26.92 GHz 4.5 位 4.76 位 4.93 位 27.92 GHz 4.5 位 4.70 位 4.91 位 28.92 GHz 4.5 位 4.70 位 4.95 位 29.92 GHz 4.5 位 4.85 位 4.95 位 30.92 GHz 4.5 位 4.75 位 4.90 位 31.92 GHz 4.5 位 4.70 位 4.80 位 32.92 GHz 4.4 位 4.59 位 4.75 位 33.92 GHz 4.4 位 4.70 位 4.79 位 35.92 GHz 4.5 位 4.60 位 4.67 位 37.92 GHz 4.3 位 4.40 位 4.47 位 39.92 GHz 4.3 位 4.57 位 4.65 位 41.92 GHz 4.2 位 4.49 位 4.62 位 43.92 GHz 4.3 位 4.70 位 4.87 位 45.92 GHz 4.1 位 4.16 位 4.71 位 47.92 GHz 4.0 位 4.10 位 4.64 位 49.92 GHz 4.0 位 4.10 位 4.15 位 51.92 GHz 4.1 位 4.18 位 53.92 GHz 4.1 位 4.18 位 55.92 GHz 4.2 位 4.30 位 57.92 GHz 4.5 位 4.60 位 59.92 GHz 4.8 位 61.92 GHz 4.8 位 63.92 GHz 4.9 位 65.92 GHz 4.9 位 67.92 GHz 4.9 位 69.92 GHz 4.7 位 - BWE 开,增强 MIMO 滤波器,全部带宽
DPO77002SX、DPO75902SX、DPO75002SX、DPO73304SX TekConnect 通道 DPO72504SX DPO72304SX 输入频率 100 GS/s,33 GHz 50 GS/s,23 GHz 100 GS/s, 25 GHz 50 GS/s, 23 GHz 100 GS/s,23 GHz 50 GS/s,23 GHz 10 MHz 5.4 位 5.4 位 5.5 位 5.3 位 5.9 位 5.3 位 1 GHz 5.2 位 5.3 位 5.4 位 5.3 位 5.8 位 5.2 位 2 GHz 5.2 位 5.2 位 5.3 位 5.1 位 5.7 位 5.2 位 3 GHz 5.1 位 5.1 位 5.2 位 5.1 位 5.6 位 5.1 位 4 GHz 5.1 位 5.2 位 5.1 位 5.1 位 5.6 位 5.2 位 5 GHz 5.2 位 5.1 位 5.2 位 5.2 位 5.6 位 5.1 位 6 GHz 5.0 位 5.1 位 5.1 位 5.2 位 5.6 位 5.0 位 7 GHz 5.0 位 5.1 位 5.2 位 5.2 位 5.5 位 5.1 位 8 GHz 5.1 位 5.1 位 5.2 位 5.2 位 5.6 位 5.1 位 9 GHz 5.1 位 5.0 位 5.3 位 5.2 位 5.6 位 5.0 位 10 GHz 5.2 位 5.1 位 5.2 位 5.1 位 5.5 位 5.0 位 11 GHz 5.1 位 4.9 位 5.4 位 5.1 位 5.4 位 4.9 位 12 GHz 5.2 位 5.0 位 5.4 位 5.2 位 5.5 位 5.0 位 13 GHz 5.1 位 4.9 位 5.4 位 5.0 位 5.4 位 4.9 位 14 GHz 5.1 位 4.9 位 5.4 位 5.0 位 5.3 位 4.8 位 15 GHz 4.9 位 4.8 位 5.3 位 5.0 位 5.1 位 4.8 位 16 GHz 4.8 位 4.8 位 5.2 位 5.0 位 5.2 位 4.7 位 17 GHz 4.9 位 4.8 位 5.2 位 5.0 位 5.2 位 4.7 位 18 GHz 4.9 位 4.8 位 5.2 位 5.1 位 5.3 位 4.8 位 19 GHz 4.8 位 4.8 位 5.1 位 5.0 位 5.2 位 4.7 位 20 GHz 4.7 位 4.6 位 4.9 位 5.0 位 5.1 位 4.7 位 21 GHz 4.8 位 4.8 位 4.8 位 4.8 位 5.3 位 4.8 位 22 GHz 4.8 位 4.9 位 4.8 位 4.8 位 5.3 位 4.8 位 23 GHz 4.9 位 4.9 位 5.2 位 24 GHz 5.0 位 4.9 位 25 GHz 4.8 位 4.9 位 26 GHz 4.9 位 27 GHz 4.8 位 28 GHz 4.7 位 29 GHz 4.9 位 30 GHz 4.9 位 31 GHz 4.8 位 32 GHz 4.8 位 33 GHz 4.8 位 DPO72004SX DPO71604SX DPO71304SX 输入频率 100 GS/s, 20 GHz 50 GS/s, 20 GHz 100 GS/s,16 GHz 50 GS/s,16 GHz 100 GS/s 13 GHz 50 GS/s 13 GHz 10 MHz 5.7 位 5.4 位 6.0 位 5.7 位 6.0 位 5.7 位 1 GHz 5.7 位 5.4 位 5.9 位 5.6 位 6.1 位 5.8 位 2 GHz 5.4 位 5.1 位 5.9 位 5.6 位 6.0 位 5.7 位 3 GHz 5.5 位 5.2 位 5.7 位 5.4 位 5.7 位 5.5 位 4 GHz 5.5 位 5.2 位 5.7 位 5.4 位 5.8 位 5.6 位 5 GHz 5.5 位 5.2 位 5.6 位 5.4 位 5.9 位 5.6 位 6 GHz 5.5 位 5.2 位 5.7 位 5.5 位 5.8 位 5.6 位 7 GHz 5.6 位 5.2 位 5.7 位 5.5 位 5.9 位 5.6 位 8 GHz 5.6 位 5.2 位 5.8 位 5.5 位 5.9 位 5.6 位 9 GHz 5.6 位 5.2 位 5.8 位 5.5 位 5.9 位 5.6 位 10 GHz 5.5 位 5.2 位 5.8 位 5.5 位 5.9 位 5.6 位 11 GHz 5.5 位 5.2 位 5.8 位 5.4 位 5.9 位 5.6 位 12 GHz 5.5 位 5.2 位 5.8 位 5.4 位 5.8 位 5.6 位 13 GHz 5.5 位 5.0 位 5.8 位 5.4 位 5.9 位 14 GHz 5.5 位 5.0 位 5.8 位 5.4 位 15 GHz 5.5 位 5.0 位 5.8 位 5.4 位 16 GHz 5.5 位 4.9 位 5.8 位 5.4 位 17 GHz 5.5 位 4.9 位 18 GHz 5.5 位 5.0 位 19 GHz 5.5 位 4.9 位 20 GHz 5.4 位 4.9 位 21 GHz 22 GHz 23 GHz 24 GHz 25 GHz 26 GHz 27 GHz 28 GHz 29 GHz 30 GHz 31 GHz 32 GHz 33 GHz
- 偏置范围
- TekConnect 通道
满刻度电压范围 偏置范围 62.5 mVFS – 1.2 VFS ±3.4 V >1.2 VFS – 6 VFS ±6 V - ATI 通道
满刻度电压范围 偏置范围 100 mVFS – 300 mVFS ±300 mV -(10 div × V/div)
偏置精度
净偏置 = 偏置 -(位置 × 伏特/格)。
满刻度电压范围 偏置精度 62.5 mVFS ~ 1.2 VFS(TekConnect 通道)
±(0.4% | 净偏置 | + 0.2% | 净偏置 – Vterm 设置 | + 2.5 mV + 1% FS)
>1.2 VFS ~ 6 VFS (TekConnect 通道) ±(0.6% | 净偏置 | + 13.4 mV + 1% FS)
100 mVFS ~ 300 mVFS(ATI 通道)
±(0.35% | 净偏置 | + 2 mV + 1% FS)
- 位置范围
- ± 5 格
- 通道间串扰(通道隔离),典型值
输入频率范围 (直到额定带宽)。假设两条通道拥有相同的标度和带宽设置。限制适用于特定仪器的带宽。
ATI 型号 指定通道 仪器频率范围 隔离 ATI 通道(不同仪器中任意两条[或多条] ATI通道之间的隔离度),要求 UltraSync DC 至 70 GHz 70 dB ATI 设备中的 TekConnect 通道(通道 1 和通道 3 之间的隔离度) 直流到 33 GHz 60 dB TekConnect 通道到 ATI 通道(通道 1 和通道 3 到通道 2 的隔离度) 直流到 4 GHz 55 dB >4 GHz 至 10 GHz 45 dB >10 GHz 至 20 GHz 35 dB >20 GHz 至 30 GHz 30 dB >30 GHz 至 33 GHz 27 dB ATI 通道到 TekConnect(非 ATI)通道(通道 2 和通道 1 或 3 之间的隔离度) 直流到 3 GHz 55 dB >3 GHz ~ 12 GHz 40 dB >12 GHz ~ 33 GHz 30 dB >33 ~ 70 GHz 60 dB TekConnect 型号(非 ATI) 指定通道 仪器频率范围 隔离 通道 1 或 2 和通道 3 或 4 之间的隔离度 直流到 33 GHz 60 dB 通道 1 和 2 或通道 3 和 4 之间的隔离度 直流到 2 GHz 60 dB >2 至 10 GHz 42 dB >10 至 20 GHz 35 dB >20 至 33 GHz 30 dB
- 显示的平均噪声水平 (DANL)(典型值)
6.25 mV/div(ATI 通道为 10 mV/div)
500 MHz 频宽,1 kHz RBW
峰值检测器,平均迹线,输入端接
DC-500 MHz
500 MHz - 20 GHz
20 GHz - 70 GHz
≤ -145 dBm/Hz
≤ -155 dBm/Hz
≤ -150 dBm/Hz
29 dB NF
19 dB NF
24 dB NF
- 信噪比动态范围(典型值)
- TekConnect 通道
3 dBm 输入 @ 1 GHz,100 mV/div
CF 1 GHz,50 MHz 频宽,1 kHz RBW,距中心 +20 MHz
-102 dB - ATI 通道
-7.5 dBm 输入 @ 65 GHz,30 mV/div
CF 65 GHz,50 MHz 频宽,1 kHz RBW,距中心 +20 MHz
-95 dB
- 相位噪声(典型值)
- 30 mV/div,输入信号 90% 满刻度
10 kHz 100 kHz 1 MHz 10 MHz 1 GHz -113 dBc/Hz -120 dBc/Hz -133 dBc/Hz -139 dBc/Hz 12.5 GHz -95 dBc/Hz -98 dBc/Hz -127 dBc/Hz -139 dBc/Hz 40 GHz -86 dBc/Hz -89 dBc/Hz -110 dBc/Hz -132 dBc/Hz 60 GHz -82 dBc/Hz -87 dBc/Hz -110 dBc/Hz -125 dBc/Hz
- 2 阶/3 阶谐波失真
6.25 mV/div(ATI 通道为 10 mV/div)
输入信号 -26 dBm(ATI 通道为 -22 dBm)
- TekConnect 通道
基波
2 阶 3 阶 1 GHz
≤ -60 dBc ≤ -55 dBc 500 MHz - 10 GHz
≤ -55 dBc ≤ -50 dBc 10 GHz -16.5 GHz
≤ -45 dBc ≤ -50 dBc - ATI 通道
1 GHz
≤ -60 dBc ≤ -50 dBc 500 MHz - 10 GHz
≤ -60 dBc ≤ -45 dBc 10 GHz - 25 GHz
≤ -50 dBc ≤ -50 dBc 25 GHz - 35 GHz
≤ -40 dBc ≤ -50 dBc
- 2 音调 3 阶互调制侦听 TOI(典型值)
- TekConnect 通道
200 mV/div, 3 dBm 输入/音调
2.598 GHz 和 2.602 GHz
20 MHz 频宽,100 kHz RBW
+30 dBm
- ATI 通道
30 mV/div,-15 dBm 输入/音调
64.998 GHz 和 65.002 GHz
20 MHz 频宽,100 kHz RBW
+10 dBm
- 2 音调 3 阶互调制失真(典型值)
6.25 mV/div(ATI 通道为 10 mV/div)
-34 dBm 输入/音调(ATI 通道为 -29 dBm 输入/音调)
10 MHz 隔离度, 50 MHz 频宽, 100 kHz RBW
TekConnect
10 MHz - 33 GHz
≤ -45 dBc ATI 通道
10 MHz - 65 GHz
≤ -40 dBc
- SFDR(典型值)
TekConnect 通道
CF 2.5 GHz,频宽 5 GHz,100 kHz RBW,50 mV/div
输入 -8 dBm @ 1 GHz
≤ -65 dBc ATI 通道
CF 65 GHz,频宽 6 GHz,100 kHz RBW,30 mV/div
输入-12 dBm @ 62 GHz - 68 GHz 任意频率
≤ -55 dBc
- 其他杂散响应 (典型值)
6.25 mV/div(ATI 通道为 10 mV/div)
输入信号 -26 dBm(ATI 通道为 -22 dBm)
在 SPC 后, EENOB 启用
- 交织镜频(所有通道)
杂散频率 = N(12.5 GHz) +-Fin,N 从 1 到 5 ≤ -40dBc - ATI 通道镜频
杂散频率 = 37.5 GHz + Fin,适合 Fin DC-37.5 GHz
37.5 GHz – Fin,适合 Fin 37.5 GHz ~ 70 GHz
≤ -30dBc - 残余响应
输入端接时
6.25 mV/div(ATI 通道为 10 mV/div)
在 SPC 后, EENOB 启用
TekConnect 通道
12.5 GHz 和 25 GHz 时例外
≤ -75 dBm
≤ -60 dBm
ATI 通道
12.5 GHz、25 GHz、37.5 GHz 和 50 GHz 时例外
≤ -75 dBm
≤ -60 dBm
- 输入 VSWR(典型值)
- TekConnect 通道 ≤ 1.2 Vfs 设置
DC - 17 GHz
17 GH - 20 GHz
20 GHz - 33 GHz
1.4:1
1.6:1
2.0:1
- TekConnect 通道 >1.2 Vfs 设置
DC - 17 GHz
17 GHz - 33 GHz
1.4:1
2.0:1
- ATI 通道
DC - 20 GHz
20 GHz - 33 GHz
33 GHz - 70 GHz
1.5:1
1.8:1
2.6:1
水平系统
时基精度
±0.8 x 10-6(第一年内),第一年后 ±0.3 x 10 -6 老化/年,工作温度 23°C ±5°C(预热 30 分钟后)。
典型值:调节后 ±0.1 x 10-6 初始精度。
- 时基延迟时间范围
- –5.0 ks 至 1.0 ks
- 采样时钟抖动(典型值)
- ATI 通道
<10 μs 时长:<65 fsRMS
- TekConnect 通道
- <10 μs 时长:<100 fsRMS
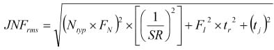
- 抖动噪底(典型值)
- NTYP = 典型输入参考噪声规格值(电压 Vrms)RMS
- FN = 1.3(适用于仪器带宽 ≤9 GHz);1.5(适用于仪器带宽 ≥10 GHz)。
- SR = 测量值转换速率
- FI = 1.7 x 10-2/sqrt(2) = 1.2 x 10-2
- tr = 测量沿上升时间
- tj = 时基抖动或孔径不确定度

- 波形的内插采样率必须至少是被测信号带宽的 25 倍。
- 触发抖动(典型值)
- 使用增强触发位置时 10 fs。
- 触发抖动 DC 耦合 A 边沿(典型值)
使用增强触发位置时 10 fs。
1.3 ps rms, 低频, 快速上升时间信号, A 边沿, 触发释抑时间 = 30 μs
技术指标触发系统
- 时间/格设置
- 自动
- 20 ps/div 至 1000 S/div
- ATI 通道(仅限采样率 200 GS/s)
最大 RT 设置:500 μs/div(1G RL,50XL 选项)
最小 RT 设置:25 ps/div
最大 IT 设置:250 μs/div(1G RL,50XL 选项)
最小 IT 设置:500 fs/div
- TekConnect 通道3(最高采样率 100 GS/s 时)
最大 RT 设置:1 ms/div(1G RL,50XL 选项)
最小 RT 设置:50 ps/div
最大 IT 设置:10 μs/div(1G RL,50XL 选项)
最小 IT 设置:500 fs/div
- 通道间延迟,BWE(典型值)
≤ 500 fs(同一仪器内任意两条通道之间,任意增益设置,25°C ±5°C,在任何的用户调节前)。手动调节,最低分辨率 10 fs。5°C 和 45°C 时,额定值线性下降到 ≤ 1.5 ps。
- 通道时滞稳定性,UltraSync(典型值)
25°C ±5°C 时,任意增益设置下仪器之间任意两个通道间 ≤ 250 fsRMS5°C 和 45°C 时,额定值线性下降到 ≤ 3 ps。
- 通道间时滞范围
- ±75 ns
采集系统
- 采集模式
- 采样
- 采集并显示采样值
- 平均
- 平均波形中可以包括 2 - 10,000 个波形
- 包络
- min-max 包络中可以包括 1 - 2×109 个波形
- 高分辨率
- 实时波形平均功能,降低随机噪声,提高分辨率
- 峰值检测
- 以所有实时采样率捕获和显示窄毛刺。毛刺宽度:1 ns @ ≤125 MS/s; 1/采样率 @ ≥250 MS/s
- FastAcq®(仅限 TekConnect 通道)
- FastAcq® 优化了仪器的动态信号分析和偶发事件捕获,可在所有 TekConnect 通道上每秒同时捕获 >300,000 个波形,仅支持独立配置
- FastFrame™
- 采集内存被分成多个段;最大触发速率>310,000个波形/秒。每个事件记录到达时间。画面查找工具帮助明确识别瞬态信号。适用于 ATI 和 TekConnect 通道,适用于所有系统配置,包括独立式和使用 UltraSync 的多台堆叠系统。
- 滚动模式
- 以从右到左的滚动动作滚动序列波形点穿过显示屏。支持高达 10 MS/s 的采样率,最大记录长度 40 MS。仅 TekConnect 通道,仅单机配置
- 波形数据库
- 累积波形数据,提供由幅度、时间和数量组成的三维阵列。仅 TekConnect 通道,仅单机配置
Pinpoint®触发系统
- 触发灵敏度(典型值)
- 内部 DC 耦合
A 事件触发,B 事件触发 ≤ 5%FS,DC ~ 50 MHz
≤ 7.5%FS @ 5 GHz
≤ 10%FS @ 10 GHz
≤ 15%FS @ 15 GHz
≤ 35%FS @ 20 GHz
≤ 50%FS @ 25 GHz
- 辅助输入 50 Ω(外部触发)
辅助输入 100 mVpp,DC ~ 1 GHz
175 mVpp @ 4 GHz
225 mVpp @ 8 GHz
325 mVpp @ 10 GHz
800 mVpp @ 12 GHz
边沿触发灵敏度,DC 耦合(典型值)
所有信号源,正或负边沿。
触发源 灵敏度 A 事件触发 ≤ 5%FS,DC ~ 50 MHz
≤ 7.5%FS @ 5 GHz
≤ 10%FS @ 10 GHz
≤ 15%FS @ 15 GHz
≤ 35%FS @ 20 GHz
≤ 50%FS @ 25 GHz
B 事件触发 ≤ 5%FS,DC ~ 50 MHz
≤ 7.5%FS @ 5 GHz
≤ 10%FS @ 10 GHz
≤ 15%FS @ 15 GHz
≤ 35%FS at 20GHz
≤ 50%FS @ 25 GHz
辅助输入 100 mVpp,DC ~ 1 GHz
175 mVpp @ 4 GHz
225 mVpp @ 8 GHz
450 mVpp @ 10 GHz
800 mVpp @ 11 GHz
- 边沿触发灵敏度,非 DC 耦合模式(典型值)
- 所有信号源,正或负边沿,垂直标度设置 ≥10 mV/div 且 ≤1 V/div
触发耦合 灵敏度 噪声抑制 15%FS,DC ~ 50 MHz
22.5% @ 5 GHz
30%FS @ 10 GHz
45%FS @ 15 GHz
100%FS @ 20 GHz
AC 与频率 > 100 Hz 的 DC 耦合限制相同,衰减信号 <100 Hz
高频抑制 与频率 < 20 kHz 的 DC 耦合限制相同,衰减信号 > 20 kHz
LF REJ 与频率 > 200 kHz 的 DC 耦合限制相同,衰减信号 < 200 kHz
RF 最小迟滞/高灵敏度 A TRIG TekConnect
2.5% FS,DC ~ 50 MHz
2.5% FS @ 5 GHz
2.5% FS @ 10 GHz
5% FS @ 15 GHz
7.5% FS @ 20 GHz
12.5% FS @ 25 GHz
B TRIG TekConnect
2.5% FS,DC ~ 50 MHz
2.5% FS @ 5 GHz
2.5% FS @ 10 GHz
5% FS @ 15 GHz
7.5% FS @ 20 GHz
20% FS @ 25 GHz
A TRIG ATI
2.5% FS,DC ~ 50 MHz
2.5% FS @ 5 GHz
2.5% FS @ 10 GHz
5% FS @ 15 GHz
10% FS @ 20 GHz
22.5% FS @ 25 GHz
B TRIG ATI
2.5% FS,DC ~ 50 MHz
2.5% FS @ 5 GHz
2.5% FS @ 10 GHz
5% FS @ 15 GHz
10% FS @ 20 GHz
22.5% FS @ 25 GHz
- A 事件和延迟 B 事件触发类型
独立式仪器 DPO73304SX
DPO72504SX
DPO72304SX
DPO72004SX
DPO71604SX
DPO71304SX
DPO77002SX
DPO75902SX
DPO75002SX
触发类型 TekConnect 通道 ATI 通道 TekConnect 通道 边沿 X
X
X
毛刺 X
X
X
宽度 X
X
X
欠幅脉冲 X
X
X
串行 (8b10b) X
X
X
窗口 X
X
X
超时 X
X
X
周期/频率 X
X
X
包络 X
X
X
跳变 X
X
X
逻辑码型 X
X
建立时间/保持时间 X
X
逻辑状态 X
多台配置 DPO73304SX
DPO72504SX
DPO72304SX
DPO72004SX
DPO71604SX
DPO71304SX
DPO77002SX
DPO75902SX
DPO75002SX
触发类型 TekConnect 通道 ATI 通道 TekConnect 通道 边沿 X
X
X
毛刺 X
X
X
宽度 X
X
X
- 主要触发模式
- 自动、正常和单次
- 触发序列
- 主触发、时间延迟、事件延迟、按时间复位、按状态复位、按跳变复位。所有顺序可以包括触发事件后单独的水平延迟,以定位采集时间窗口
- 触发耦合
DC、AC(衰减 <100 Hz)
高频抑制(衰减 >20 kHz)
低频抑制(衰减 <200 kHz)
噪声抑制(降低灵敏度)
RF耦合(最大工作频率时提高触发灵敏度和带宽)
- 可变A事件触发释抑范围
- 250 ns ~ 12 s + 随机触发释抑
- 触发电平或门限范围
触发源 范围 通道 1、2、3 或 4 满刻度 辅助输入 ±3.65 V 线路 0 V,不能设置
- 增强触发
增强触发可校正触发路径与采集的数据路径之间的时间差(码型触发除外,它支持与 A 事件和 B 事件有关的所有 Pinpoint 触发类型);默认开启(用户可以选择);在 FastAcq 模式中不能使用。
- 线路触发
- 在电源线信号上触发。电平固定在 0 V。
- 串行码型触发
- 所有 70000SX 型号。要求选项 ST14G
- 可视触发
- 需要选项 VET
- 最大区域数量
- 8
- 区域形状
- 矩形、三角形、梯形、六边形、用户定义的形状(可拥有 40 多个顶点)
- 兼容性
- 可视触发限定技术兼容所有触发类型和所有触发顺序
- 触发类型
触发类型 说明 8b/10b 在 8b/10b 总线上触发,最高 160 位。 64b/66b 在 64b/66b 总线上触发,最高 132 位。 I2C
触发开始、重复开始、停止、丢失确认、地址(7 位或 10 位)、数据或地址和数据。 SPI 在 SS 或数据上触发。 PCIe 在 PCIe 总线上触发。 USB 在 USB 总线上触发。 CAN 触发帧开始、帧类型、标识符、数据、帧结束、丢失确认、位填充错误。 LIN 触发同步、标识符、数据、ID 和数据、唤醒帧、睡眠帧、错误。 FlexRay 触发帧开始、指示器位、循环数、标头字段、标识符、数据、帧结束、错误。
RS-232/422/485/UART 触发开始位、包尾、数据和奇偶性错误。 MIL-STD-1553 在 MIL-STD-1553 总线上触发。 10/100BASE-T 以太网 在 10/100BASE-T 以太网总线上触发。 边沿 触发任何通道或前面板辅助输入上的正斜率或负斜率。耦合包括 DC、AC、噪声抑制、HF 抑制、LF 抑制和 RF 耦合。
频率/周期 触发在位于或超过可以选择的时间极限时以相同斜率越过门限两次的事件。斜率可以是正、负或任一。 毛刺 触发或抑制正极、负极或任意极性的毛刺。最小毛刺宽度为 40 ps(典型值),重新准备时间为 50 ps(<5 ns间隔),间隔大于 5 ns 时为 75 ps。
码型 当码型在指定时间内变成假或保持为真时触发。为四条输入通道指定的码型(AND、OR、NAND、NOR)。
欠幅脉冲 在一个脉冲越过一个阈值,但在再次越过第一个阈值前未能越过第二个阈值时触发采集。可以根据时间或逻辑判定事件。最小欠幅脉冲宽度为40 ps (典型值),重新准备时间为50 ps
串行触发 (8b10b) 在 8b10b 编码数据和通用 NRZ 串行数据上触发,最高 160 位 建立时间/保持时间 当任意两条输入通道中存在的时钟和数据之间的建立时间和保持时间超过门限时触发。 状态 通道 4 上边沿时钟输入的通道(1、2、3)的任何逻辑码型。触发上升时钟沿或下降时钟沿。
超时 当事件在指定时间内一直保持高、低或高低时触发。可以从 300 ps 开始选择。
跳变 在脉冲边沿速率时触发 当事件在指定时间内一直保持高、低或高低时触发。可从 300 ps 中选择。
快于或慢于指定速率时触发。斜率可以为正、负或正负。宽度 在正脉冲或负脉冲的宽度落在或超过可以选择的时间极限范围时触发(小至 40 ps)。
窗口 当事件进入或退出用户可调节的两个门限定义的一个窗口时触发。可以根据时间或逻辑判定事件。 可视触发 在满足可视触发表达式时触发。 包络 判定标准适用于边沿触发、毛刺触发、宽度触发或欠幅脉冲触发,从而在检测到的调制载波的包络上执行该触发类型。载频250 MHz ~ 15 GHz.最小突发宽度 <20 ns,突发间最大间隙 <20 ns。
- 触发模式
触发模式 说明 触发事件延迟 1 至 20 亿个事件。 触发时间延迟 3.2 ns 至 300 万秒。 B 事件扫描 B 事件扫描是一种 A-B 触发顺序,将触发和捕获 B 事件扫描设置菜单中规定的感兴趣突发事件数据。可以以顺序方式或随机化方式扫描捕获码,也可以在两个连续的 B 触发事件之间切换触发。可以使用扫描 B 事件采集的突发数据构建眼图。
启动 A,触发 B “A 时启动,B 时触发”允许在一个 A 启动事件后紧跟一个或多个 B 触发事件。在配合 FastFrame 后,实现极严格的采集时序控制。
波形分析
- 搜索和标记事件
搜索边沿、毛刺或指定宽度的脉冲。与搜索标准相匹配的找到的任何事件都标记并放在事件表中。可以在任意通道上使用正/负斜率或同时使用正负斜率进行搜索。
找到感兴趣的事件之后,可使用 Pinpoint 触发控制窗口中的“标记记录中所有触发事件”来找到其他类似事件。
事件表汇总了找到的所有事件。所有时间都相对于触发位置打上时戳。用户可以选择在找到事件时停止采集。
- 波形测量
- 自动测量
54 种,其中同时可以在屏幕上显示 8 种测量功能;测量统计、用户定义参考电平、在要测量的采集中隔离特定发生的门电路中的测量
DPOJET 抖动和眼图分析应用可提供更多自动化和高级测量,如抖动。
- 幅度相关测量
幅度、高、低、最大值、最小值、峰峰值、中间值、周期中间值、RMS、周期 RMS、正过冲、负过冲
- 时间相关测量
上升时间、下降时间、正宽度、负宽度、正占空比、负占空比、周期、频率、延迟
- 组合
- 面积、周期面积、相位、突发宽度
- 波形直方图测量
波形数、框内点数、峰值点数、中间值、最大值、最小值、峰峰值、平均值 (μ)、标准偏差 (sigma)、μ+1sigma、μ+2sigma、μ+3sigma
- 波形处理/数学运算
- 数学表达式
定义广泛的数学表达式,包括波形、标量、用户可调节变量和参数测量结果等(Integral (CH1 ‒ Mean(CH1)) × 1.414 × VAR1)
- 代数
- 波形和标量加、减、乘、除
- 滤波功能
用户自定义滤波器。用户指定一个包含滤波系数的滤波器。提供了滤波器文件
- 频域函数
- 频谱幅度和相位,实数和虚数频谱
- 模板功能
从采样波形中生成波形数据库像素图的功能。可以定义样点数量
- 数学函数
平均、倒数、积分、微分、平方根、指数、Log10、Log e、Abs、Ceiling、Floor、Min、Max、Sin、Cos、Tan、ASin、ACos、ATan、Sinh、Cosh、Tanh
- 关系运算
- >、<、≥、≤、==、!= 比较布尔运算结果
- 垂直单位
- 幅值:线性,dB,dBm 相位:度,弧度,群延迟 IRE 和 mV 单位
- 窗口函数
矩形、Hamming、Hanning、Kaiser-Bessel、Blackman-Harris、Gaussian、Flattop2、Tek Exponential
- 使用数学插件接口定制函数
提供了一个接口,允许用户在 MATLAB 或 Visual Studio 中创建自定义数学函数
显示器系统
- 色彩面板
- 正常、绿色、灰色、温度、光谱和用户定义
- 格式
- YT、XY、XYZ
- 显示器分辨率
- 1024 水平 × 768 垂直像素 (XGA)
- 显示器类型
- 6.5 英寸液晶有源矩阵彩色显示器,带电容性触摸屏
- 水平格数
- 10
- 垂直格数
- 10
- 波形样式
- 矢量、点状、可变余晖、无限余晖
计算机系统和外设
- 操作系统
- Microsoft Windows 10 Enterprise IoT Edition
- CPU
Intel Core I7-4790S,3.2 GHz,四核
- 系统内存
- 32 GB
- 固态硬盘
- 可移动硬盘,≥900 GB 容量
输入-输出端口
- 辅助触发输入特性和范围
- 50 Ω, ±5 V (DC + 峰值 AC) 技术规格输入端口和输出端口
- 辅助输出逻辑极性和功能
默认输出是 A 触发低 True(A 触发事件发生时的负边沿)。您还可以把输出设置为 A 触发高 True 和 B 触发低 True 或高 True。
快速边沿输出步长幅度和偏置
1200 mV 差分,适用于 100 Ω 负载和 -300 mV 共模。
- 外部基准输入频率
10 MHz,100 MHz,12.5 GHz
仪器搜寻 10 MHz 或 100 MHz 信号。单独的 SMA 输入支持 12.5 GHz。
- 12.5 GHz 时钟输入
- 1.3 Vp-p (6 dBm)
- B、C、D 12.5 GHz 时钟输出 (UltraSync)
- 1.3 Vp-p (6 dBm)
- 内部参考输出电压(典型值)
- 10 MHz Vout 峰峰值
> 800 mV 峰峰值,50 Ω
> 1.6 V 峰峰值,1 MΩ(内部 AC 耦合)。
- 输入和输出端口
- DVI-D 视频端口
插孔式数字视频接口 (DVI-D) 兼容端口
- VGA 端口
- 插孔式视频图形阵列 (VGA) 兼容端口
- DisplayPort
- 两个连接器(主/从)提供数字显示接口
- PCIe
- PCIe 端口,以配置多台系统
- 触发
UltraSync 触发总线
- 键盘和鼠标端口
- 兼容 PS-2,仪器必须断电才能连接
- LAN 端口
- 两个 RJ-45 连接器(LAN1、LAN2),支持 10BASE-T、100BASE-TX 和千兆以太网
- 外部音频端口
- 外部音频插孔,用于麦克风输入和线路输出
- USB 端口
4 个前面板 USB 2.0 连接器
4 个后面板 USB 3.0/USB 2.0 连接器
一个后面板 USB 设备连接器
数据存储技术数据
- 非易失性内存保留时间(典型值)
- >20 年
- 固态硬盘
波形和设置存储在固态硬盘中。
固态硬盘是 ≥900 GB固态硬盘(可拆卸)。
技术指标数据存储
电源
- 功耗
- 技术指标电源
<980 W,单台仪器,最大值
≤780 W,单台(典型值)
- 源电压和频率
100 V ~ 240 VRMS,50/60 Hz
115 V ±10%,400 Hz
CAT II
机械技术规格
- 外观尺寸
- DPO70000SX 型号
157 mm (6.0 in) 高
452 mm (17.8 in) 宽
553 mm (21.8 in) 厚
- DPO70000SX 型号,机架安装式
177 mm (7.0 in) 高
440 mm (19.75 in) 宽
523 mm (20.6 in) 厚(从机架安装耳到仪器背面)
- 重量
- 技术数据机械
- DPO70000SX 型号
19 kg (42 lb) 仅示波器
- 冷却
- 所需间隙
风扇强制通风,不带空气过滤器 顶部 0 mm (0 in) 底部 6.35 mm (0.25 in),用支脚支撑且支架向下翻转时为 0 mm (0 in)
左侧 76 mm (3 in) 右侧 76 mm (3 in)
后部 后部支脚上为 0 mm (0 in)
环境规格
- 温度
- 工作时
- +5 ℃ 至 +45 ℃
- 非工作时
- -20 ℃ 至 +60 ℃
- 温度
- 工作时
+5 ℃ ~ +45 ℃ (41 ℉ ~ +113 ℉),11 ℃/小时的最大变化率,无冷凝,在海拔高度超过 1500 米(4921.25 英尺)时,额定值每 300 米(984.25 英尺)下降 1 ℃
- 非工作时
-20 ℃ 至 +60 ℃ (-4 ℉ 至 +140 ℉),20 ℃/小时最大梯度
- 湿度
- 工作时
8% ~ 80% 相对湿度,+32°C (+90°F) 及更低温度时
5% ~ 45% 相对湿度,+32°C (+90°F) 到 +45°C (+113°F) 温度时,无冷凝,并受到 +29.4°C (+85°F) 最大湿球温度的限制(+45°C (+113°F) 时相对湿度下降到 32%)

- 非工作时
5% ~ 95 相对湿度,+30°C (+86°F) 及更低温度时,
5% ~ 45%相对湿度,+30°C (+86°F) 到 +60°C (+140°F) 时,无冷凝,并受到 +29.4°C (+85°F) 最大湿球温度的限制(+60°C (+140°F) 时相对湿度下降到 11%)
- 海拔高度
- 工作时
- 最高 3,000 米
- 非工作时
- 最高 12,000 米
- 海拔高度
- 工作时
最高 3,000 米(9,843 英尺),在海拔高度超过 1500 米(4921.25 英尺)时,海拔每升高 300 米(984.25 英尺),最高工作温度下降 1°C
- 非工作时
- 最高 12,000 米(39,370 英尺)
- 法规
- 电磁兼容性
- 2004/108/EC; EN 61326-2-1
- 证书
- UL 61010-1,CSA 61010-1-04,LVD 2006/95/EC,EN61010-1,IEC 61010-1


